begin changing figures, minor, work on thesis - ANOVA restructure, topoplot
1 parent c03ad68 commit 617da3501c0e3350a1039ddd25fc3c3fad11e74e
@Jan-Peter Hohloch Jan-Peter Hohloch authored on 10 Nov 2016
Showing 15 changed files
View
text/TODO.txt
View
text/thesis/02MaterialsAndMethods.tex
View
text/thesis/03Results.tex
View
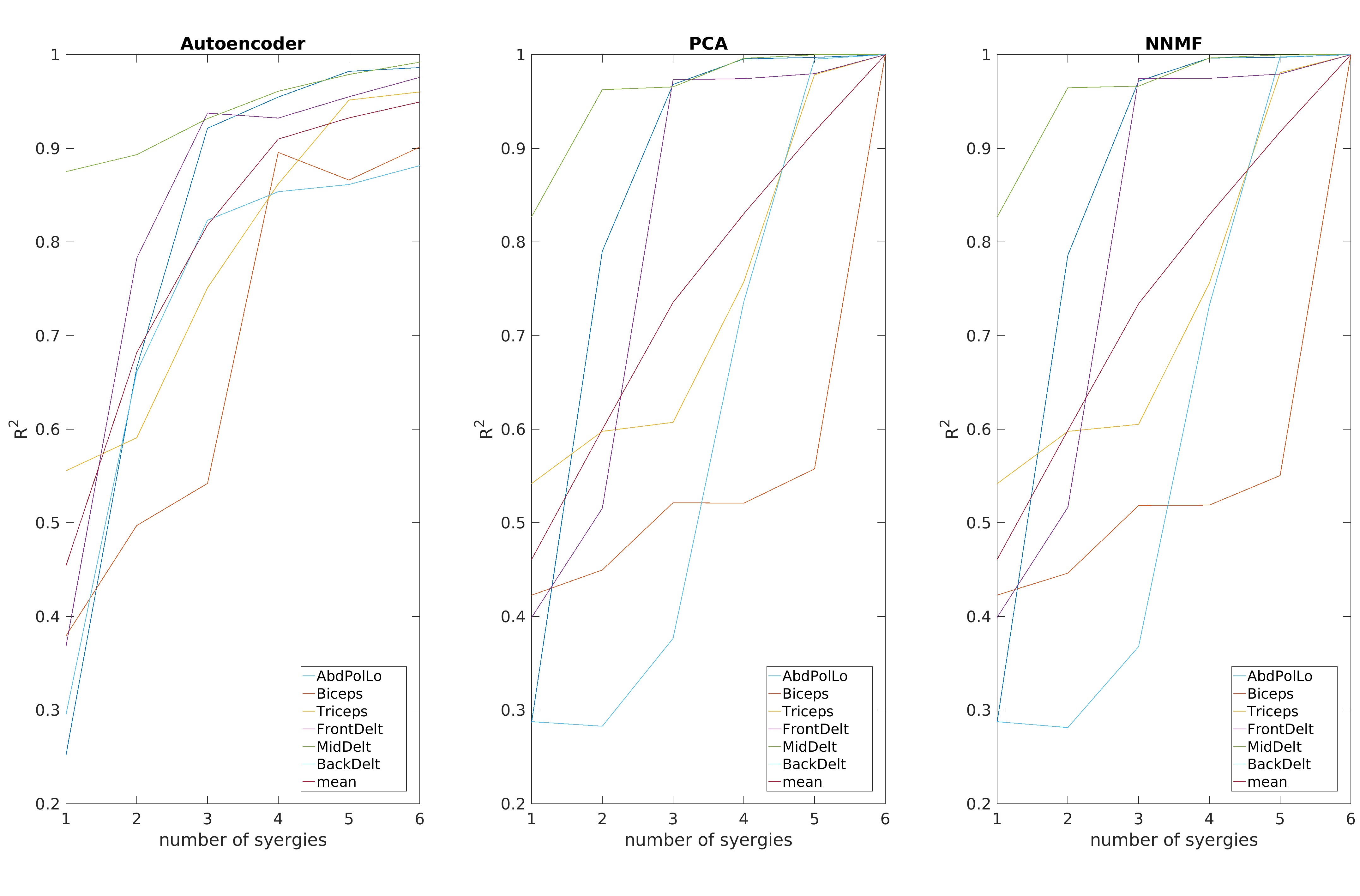
text/thesis/pictures/results/classEEGemgLF.png
View
text/thesis/pictures/results/noSyn.png 0 → 100644
View
text/thesis/pictures/results/overviewEEG.png 100644 → 0
View
text/thesis/pictures/results/overviewEEGclass.png 0 → 100644
View
text/thesis/pictures/results/overviewEMG.png 100644 → 0
View
text/thesis/pictures/results/overviewEMGclass.png 0 → 100644
View
text/thesis/pictures/results/overviewLF.png 100644 → 0
View
text/thesis/pictures/results/overviewLFclass.png 0 → 100644
View
text/thesis/thesis.tex
View
topoplot/plotOneSubjectOneDay.m
View
usedMcode/evaluationAccuracys.m
View
usedMcode/evaluationCorrelations.m