work on thesis
1 parent 8d4c3a4 commit 1b4ce9418051e17b04206a64080cb98a8c253546
@Jan-Peter Hohloch Jan-Peter Hohloch authored on 17 Nov 2016
Showing 14 changed files
View
text/ideas.txt 100644 → 0
View
text/thesis/01Introduction.tex
View
text/thesis/02MaterialsAndMethods.tex
View
text/thesis/03Results.tex
View
text/thesis/04Discussion.tex
View
text/thesis/05Future.tex
View
text/thesis/Acd.tex
View
text/thesis/Bfunctions.tex
View
text/thesis/mylit.bib
View
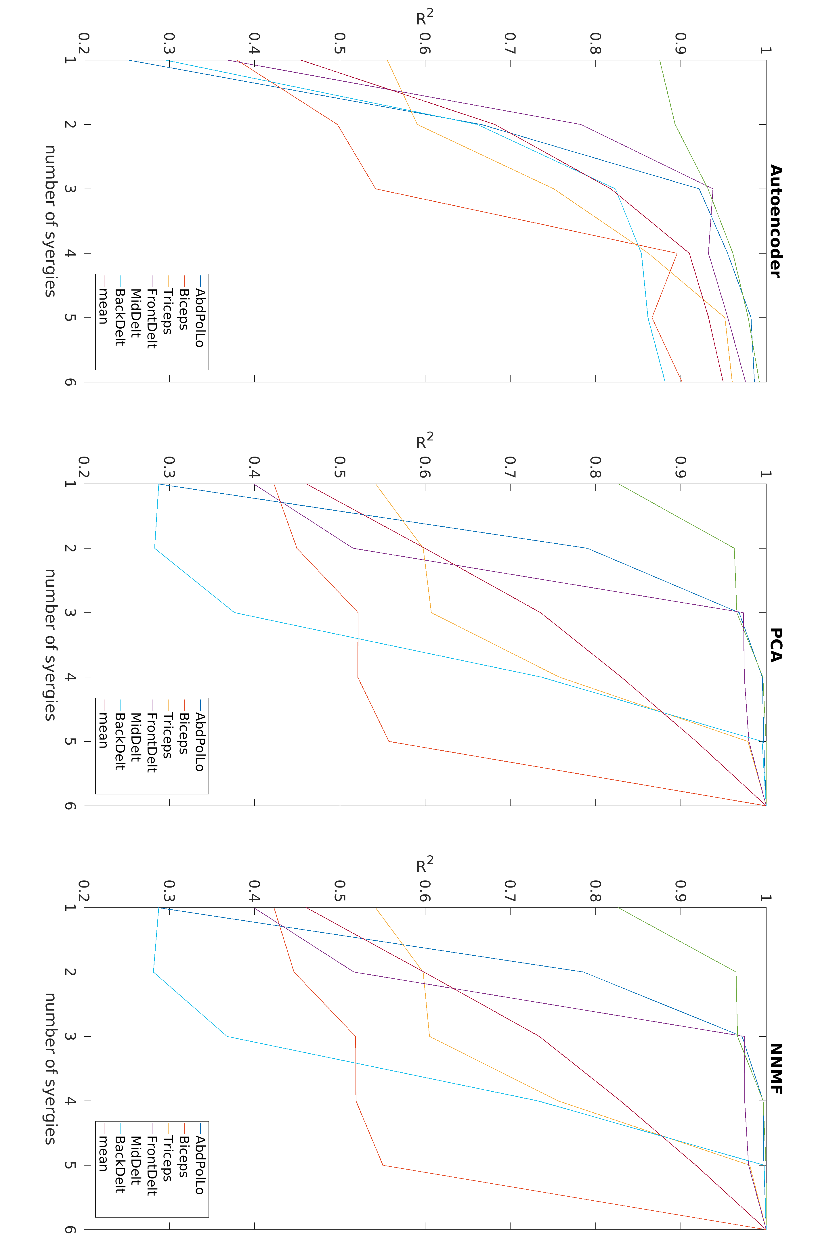
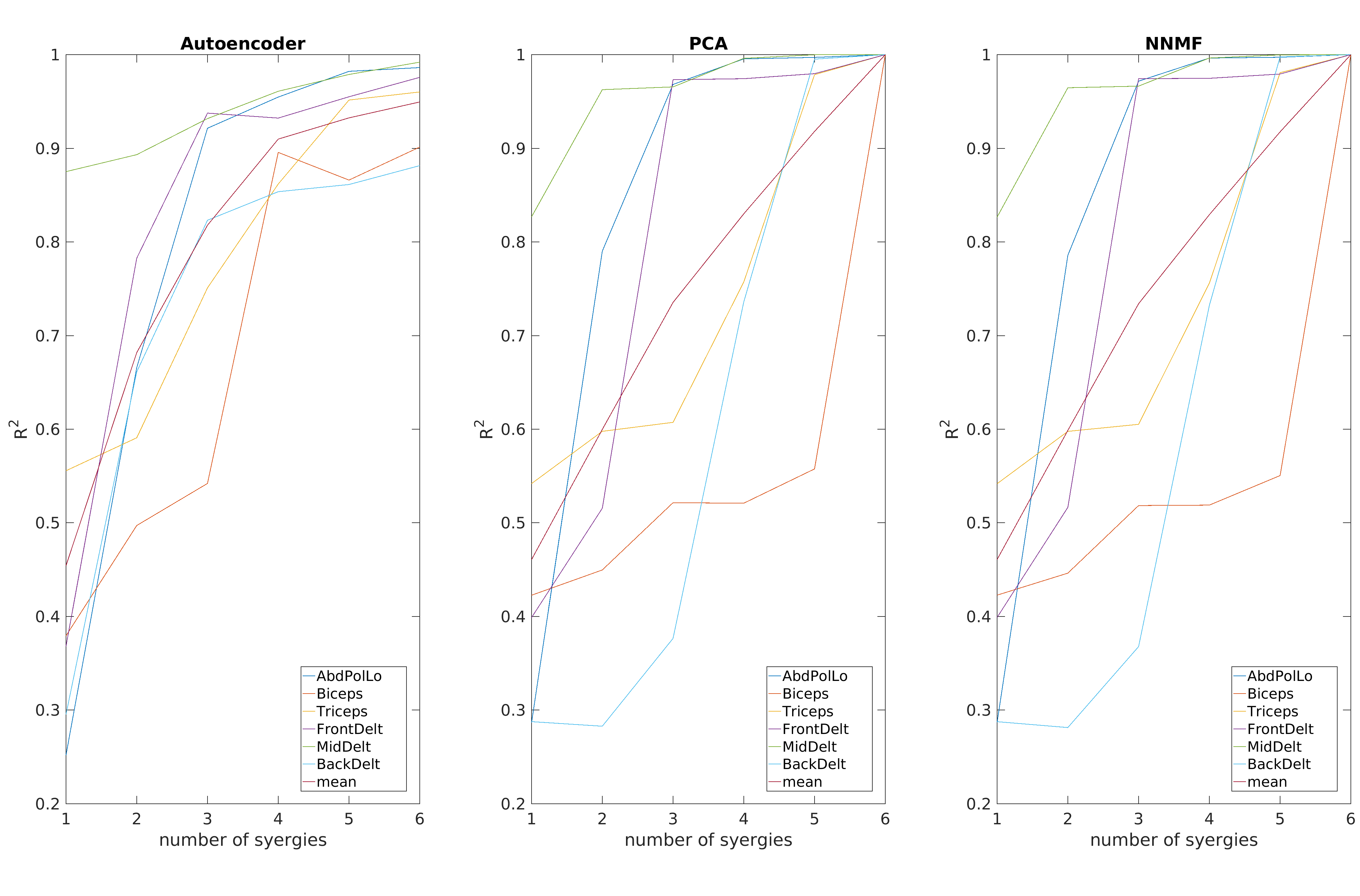
text/thesis/pictures/results/EMGautoenc.png 0 → 100644
View
text/thesis/pictures/results/noSyn.png
View
text/thesis/pictures/results/topoAlpha.png 0 → 100644
View
text/thesis/pictures/results/topoAlpha24.png 0 → 100644
View
text/thesis/pictures/results/topoBeta.png 0 → 100644